

每日金融市场分析
摸清最新市场走向
掌握各类投资策略
【交易策略】打开股票估值的兵器库——“股神”最善用哪一种?

股票的价值到底是由什么来决定?是市场在某一时刻愿意支付给股票的价格?还是根据一组公开财务数据计算而得?

想要回答这个问题,首先需要去了解价格和价值之间的不同概念——
1、市场价格:股票市场的报价。本质上,它是最后交易的价格。市场价值是有意愿的买方和卖方同意交换的价格。
2、内在价值:基于公开财务信息的更精确的价值衡量。由于股票估值没有确定的模型,基于不同的方法会得出不同的答案,不过这些数字的差异往往不会很大。
但有时候,股价和内在价值之间却是天差地别,这也是投资发生重大亏损或巨额盈利的背后动因。
股票投资最重要的工作
可以说在股票投资方面,最为核心的工作就是给股票估值。
因为如果股票报价高于内在价值,则可被定性为“昂贵”,投资者有理由出售/做空这该股票,直到报价趋同于内在价值;
如果股票报价低于内在价值,则被认为“廉价”,投资者可以买入/做多该股,直到报价趋同于内在价值。
虽然股价处在被高估或低估的状态,但如果失衡的根本原因持续存在,那么这种价差会长时间保持。但一套成熟合理的股票估值体系,能始终让投资者/投机客保持清醒头脑,在上述价差拉大或弥合时找到获利的机会。
本期内容,就将一探股票估值分析的武器库,来看以下几种主流估值分析法——
1、市盈率(P/E)
市盈率=股票市值/最新年度净利
市盈率是最受欢迎的股票估值方法之一,因“极易”使用而被投资人士广泛采纳。
市盈率的分析并不着眼股票的内在价值,而是将股票的市盈率与市场基准,或同一行业的其他公司进行比较,以确定股票是否相对高估或低估。
市盈率根据取值样本的不同还氛围静态市盈率、滚动市盈率、动态市盈率等。富拓曾通过一整个系列来深入探讨市盈率的优缺点和实际应用,投资者可从往期分享中汲取更多启发。
2、市净率(P/B)
市净率=股票市值/账面价值
市净率用于通过比较一家公司的市场价值和账面价值来确定该公司的价值。如果该比率大于1,则股票的交易价格高于账面价值;如果小于1,则股价低于账面价值。
这一指标同样未能展现股票的内在价值。因为当比率大于1,可能表明该公司有着充满希望的利润预测,投资者愿意为这一未来预测支付溢价。更高的预期增长率通常会带来更高的市净率,这一现象也同样适用于市盈率。
另外,账面价值接近每股净资产,即代表全体股东共同享有的权益,数据也仅能作为上试公司破产时的安全系数的一项参考。
而且市净率忽略了公司的无形资产。然而随着时间推移,上市公司的无形资产越发成为股票估值中的重要参考环节。

3、PEG
PEG=PE/年度净利增长率
PEG并没有简短的中文名称,翻译过来可称为“市盈率相对盈利增长比率”。
作为市盈率的“升级版”,该指标通过纳入每股收益(EPS)的增长率动态地展现股票价值,部分解决了PE、PB数据过于“静态”的问题。
公式分母的赢利增幅,其取值可以是最新的EPS历史数据,也可以是根据历史数据给出的未来预测值。
一般来说,PEG比率小于1则表明估值水平相对低廉,大于1的比率表明股票的当前价格相对于预期的收益增长来说太高。
通过一组公司对比,来看PEG比率的简单应用:

根据PEG读数,结论可得,A公司还不错;C公司虽然价格高,但增长潜力令其颇具吸引力;B公司最不具备优势。
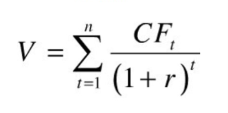
4、自由现金流贴现估值法(DCF模型)
公式为:

其中,V - 代表企业评估值
N - 代表企业寿命
CF - 代表在t年份产生的现金流
r - 代表预期现金流折现率
太复杂了?那就深入浅出的说一说。
以上为一个求和公式,结果呈现的是经过自由现金流折现后的未来价值。分子也就是CF为遵循某一既定增长幅度的现金流(通常根据过去10年的历史数据得出增长率);而分母中的r可用公司的股权、债务等需付出的资金综合总成本率来替代。其余的N和t则是一个假设数字。

这也是股神巴菲特所青睐的估值方法。查理·芒格(股神“好基友”)曾聊到这个话题时说,“巴菲特常常提到现金流量,但我从未看到他计算过什么。”用生活里的故事打个比方,有一个300斤的胖子走进来,我不用秤就知道他很胖。
所以,具体数字不一定精确,但现金流的既定增幅必须高于资金成本率,这是谁都能理解的。
现金流折现法的具体计算相比笔者的简化解释要复杂得多,其有效性已得到了“股神”的反复验证。但是却一种主观性比较强的估值方法,因此对使用者的要求极高。
5、股息贴现模型(DDM)
股息贴现模型和现金流贴现模型十分类似,只是将上述公式中的分子更替成上市公司的分红派息总额。
该方法是一种适合银行股估值的估值模型,因为银行股定期派发固定的股息。
当然,公共事业、电力公司等的项目也常用到这一估值模型。因为这类公司的收入大体上均有合同保证,属于有保证的收入(contracted revenue)。
小结
1、以上5种股票估值方法,均有各自优势,但又都存在局限。因此在使用之前,需定位好待估股票类型,因此分析工具“武器库”的扩充很重要。
2、而在对股票进行估值时,没必要精确到小数点之后,只要判断出股票的价格是否处于低位即可。换言之,追求模糊的正确,而不是错误的准确。
3、各种估值方法更像是一种思考方法,或者说是一种衡量股票价格水平的“心法”。
4、最后,在完成估值预判后,更不要忘了在具体的交易择时方面,还有很多技术方法可以使用。
免责声明: 本文内容为个人观点和想法,不应该被理解为包含了个人和/或其他投资建议和/或提议和/或邀 请进行任何金融工具交易和/或保证和/或预测未来的业绩。FXTM富拓公司及其网络联盟商、代理机构、董事、管理人士或职员不保证任何信息或数据的准确性、有效性、时效性或完整性,对基于以上信息进行投资造成的损失不承担任何承认。'

